Covariance Functions
Covariance functions return the statistical covariance - how much two sets of values change together based on a sample of the population (COVAR), or based on a biased population (COVARP).
Covariance measures how two sets of values vary together. This elementary function is used as a building block for some of the two-dimensional statistical functions used in linear regression, as it describes collectively how the two sets of values vary around their mean values.
COVAR (*numeric1*, *numeric2*)- where numeric1 and numeric2 are facts or metrics
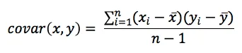
- Computes the product of variance from mean for each value of x and y. These values are summed and then divided by n.
- Use for sets of values that are only a sample of the total (biased) population.
COVARP (*numeric1*, *numeric2*)- where numeric1 and numeric2 are facts or metrics
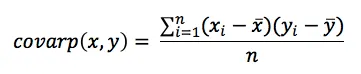
- Use COVARP for calculating covariances when the numeric values are the entire population of values.
- Use for sets of values that include the entire (unbiased) population, use COVARP.
Syntax
SELECT COVAR(…)
SELECT COVAR(metric1, metric2)
SELECT COVAR(fact1, metric2)
SELECT COVAR(fact1, fact2)
SELECT COVARP(metric1, metric2)
SELECT COVARP(fact1, metric2)
SELECT COVARP(fact1, fact2)
Examples
SELECT COVAR({metric/total_cost_of_inputs}, {metric/gross_margin})
SELECT COVARP({fact/height}, {fact/height})

